查看: 25930|回复: 0

[东平之声] 名单公示️:东平这些学生被选中了!看有你家孩子吗?

[复制链接]

该用户从未签到

发表于 2021-3-27 08:42 | 显示全部楼层 |阅读模式
23日
泰安市教育局发布
2020学年普通高中学校市级评优结果公示
1.png
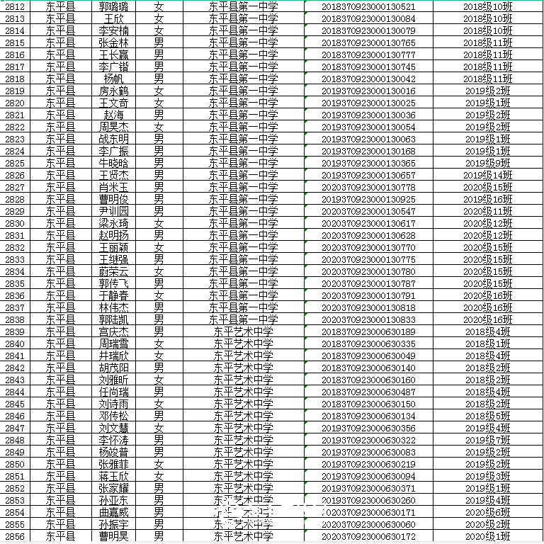
按照《山东省教育厅关于印发山东省高中阶段学校学生和班级省级评优管理办法的通知》(鲁教基发〔2021〕1号)和《泰安市教育局关于做好2020学年高中阶段学校学生省市级评优工作的通知》(泰教函〔2021〕10号)要求,我局对各地各校推荐的人选、班级进行了审核,拟表彰山东省泰安第一中学张艺玄等3088名同学为普通高中市级优秀学生,山东省泰安第一中学窦文轩等622名同学为普通高中市级优秀学生干部,山东省泰安第一中学青年路校区2018级2班等642个班级为普通高中市级优秀班集体。
为保证评选工作的公开、公平、公正,现将推荐名单予以公示。公示期为2021年3月23日至3月28日。如对公示人选有异议,请实名(单位须加盖公章)向我局基础教育科反映,并注明联系人通讯地址和联系电话。过期或不按要求提出异议的,不予受理。
联系方式:基础教育科6991143,jyj_jjk01@ta.shandong.cn
泰安市教育局
2021年3月23日
泰安市普通高中市级优秀学生推荐人选名单(东平
2.png
3.png
4.png
5.png
6.png
7.png
8.png
9.png
10.png
泰安市普通高中市级优秀学生干部推荐人选名单(东平)
11.png
12.png
泰安市普通高中市级优秀班集体推荐名单(东平)
13.png
14.png
15.png

赞赏是对作者鼓励
回复

使用道具 举报

您需要登录后才可以回帖 登录 | 立即注册

本版积分规则

fastpost

关于我们|业务合作|删帖与申诉|手机版|帮助中心|联系我们|简洁浏览|返回顶部

版权所有:东平生活网   联系电话:0538-2820087  客服QQ:点击这里给我发消息 / 点击这里给我发消息   违法不良信息举报邮箱:66684567@qq.com 举报电话:0538-2820085

泰安大德网络科技有限公司旗下网站: 东平生活网|泰安房产网|东平房产网|东平人才网 增值电信业务经营许可证:鲁B2-20200499 | 鲁公网安备 37092302000002号

Copyright © 2009 - 2022 www.dongpingren.com All Right Reserved.    中华人民共和国工业和信息化部备案号:鲁ICP备12026140号-3  

快速回复 返回顶部 返回列表