查看: 19893|回复: 0

[东平之声] 名单公示:东平这些学生,审核通过!

[复制链接]

该用户从未签到

发表于 2021-5-10 11:12 | 显示全部楼层 |阅读模式
泰安市招生考试中心发布
关于2021年山东省面向农村和贫困地区学生
招生专项计划报名审核通过考生名单公示
1.png
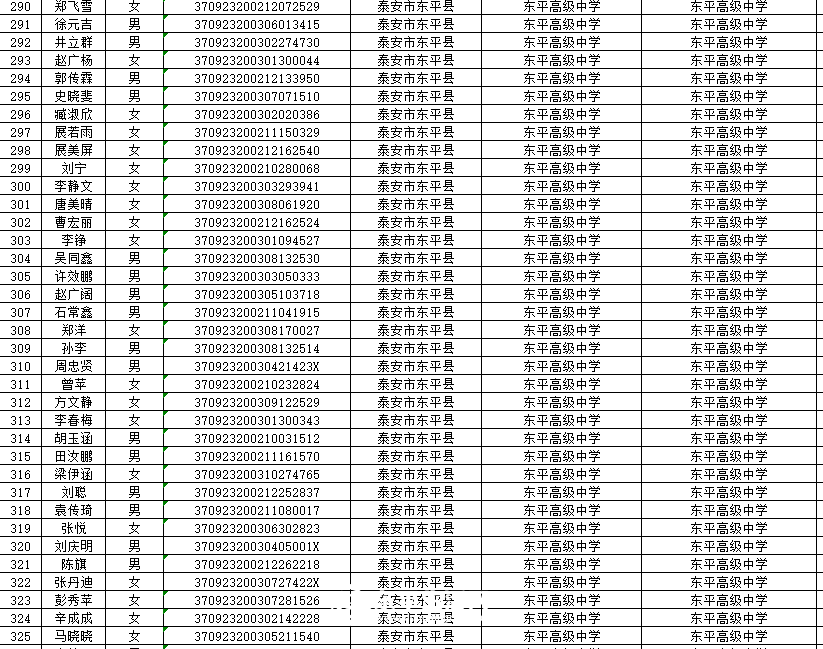
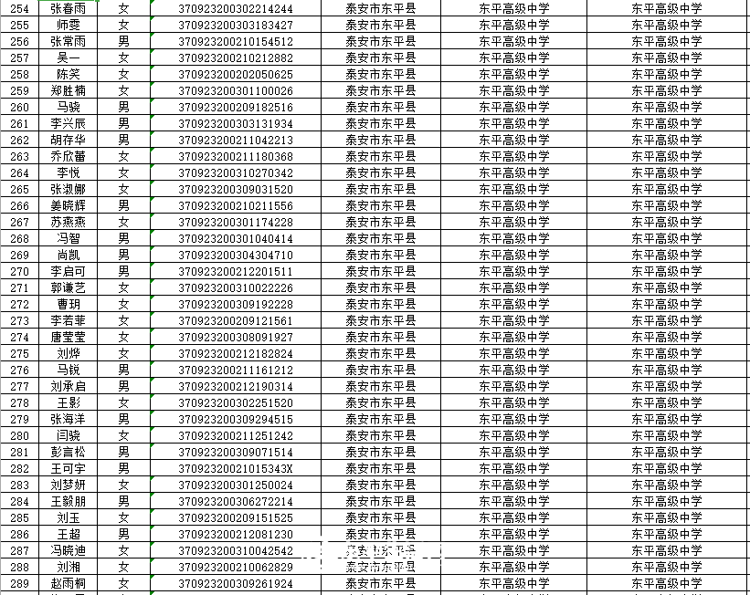
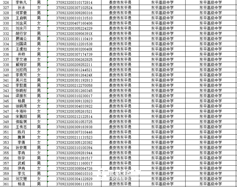
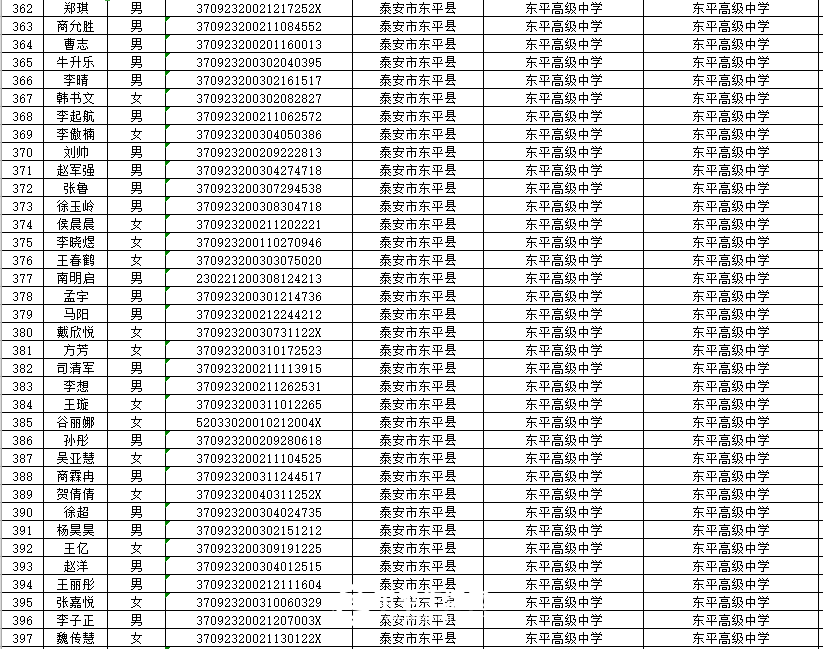
根据山东省教育厅《关于做好2021年面向农村和原贫困地区学生招生专项计划工作的通知》(鲁教学字〔2021〕5号),经学校、县市区有关部门审核、公示,2021年我市高校专项计划审核通过的合格考生共1113人,现予以公示。公示期为2021年5月8日—11日。
如有异议,请向市招生考试中心招生科反映,电话:0538-8520993,邮箱:e3709@sdzk.cn
附件:
泰安市2021年高校计划审核通过名单.xlsx
泰安市招生考试中心
2021年5月8日
泰安市2021年高校计划审核通过名单(东平部分)
2.png
3.png
4.png
5.png
6.png
7.png
8.png
9.png
10.png
11.png
12.png

赞赏是对作者鼓励
回复

使用道具 举报

您需要登录后才可以回帖 登录 | 立即注册

本版积分规则

fastpost

关于我们|业务合作|删帖与申诉|手机版|帮助中心|联系我们|简洁浏览|返回顶部

版权所有:东平生活网   联系电话:0538-2820087  客服QQ:点击这里给我发消息 / 点击这里给我发消息   违法不良信息举报邮箱:66684567@qq.com 举报电话:0538-2820085

泰安大德网络科技有限公司旗下网站: 东平生活网|泰安房产网|东平房产网|东平人才网 增值电信业务经营许可证:鲁B2-20200499 | 鲁公网安备 37092302000002号

Copyright © 2009 - 2022 www.dongpingren.com All Right Reserved.    中华人民共和国工业和信息化部备案号:鲁ICP备12026140号-3  

快速回复 返回顶部 返回列表